Mr. S.K twenty year old boy from Faizabad presented himself for the treatment of mild pain in right hypochondriac region with flatulence & distension of whole abdomen ameliorated by pressure since four days.
There was history of almost similar type of pain one month back. He took pain killers & antibiotic. Patient was registered as a case of cholelithiasis (GB-3842) on the basis of ultrasonography of whole abdomen with single gall bladder calculus measuring >10 mm.
He had a past history of fungal infection in groins treated by antifungal medicines.
He narrated that he doesn't make friends easily. He is quite reserved in nature and would easily get offended if somebody criticized him or scolds him. He would feel better by consolation. He wanted to secure admission in a certain college but due to less marks he couldn't get admission in it, thus was very upset and depressed by it.
She had a strong liking for sweets and chocolates and was comfortable in cold weather.
Initial Ultrasonography Report shows that gall bladder partially filled with fluid and at least single stone of more than 1 cm (10mm) is seen. G.B. wall is 4.0 mm thick.
Liver function test showed following results
SGPT-59.15↑,
SGOT-51.46↑,
SAP-296↑
S.Bilirubin-0.69
Before Treatment
After analysis PULSATILLA was selected on the basis of totality of symptoms. Pulsatilla 30 three doses every 10 minutes once a week followed by Chelidonium Φ 10 drops thrice daily in half cup of water for 4 weeks. Dioscorea 30 was advised to be taken during acute colic.
There was only one mild episode of pain with flatulence reported during the period.
Pulsatilla 30 three doses every 10 minutes once a week followed by Cinchona 30, twice daily and Chelidonium Φ 10 drops thrice daily in half cup of water was continued. Patient was advised to get repeat Liver Function Test.
Blood Examination reports
SGPT-38.4↓
SGOT-48.6↓
SAP-208.7↓
S.Bilirubin-0.82
Liver Function Test found within normal limit.
After some time flatulence subsided. Patient felt overall better.
Pulsatilla 30 three doses with Cinchona 30 and Chelidonium mother tincture was repeated.
Patient was advised to get ultrasonography on next visit.
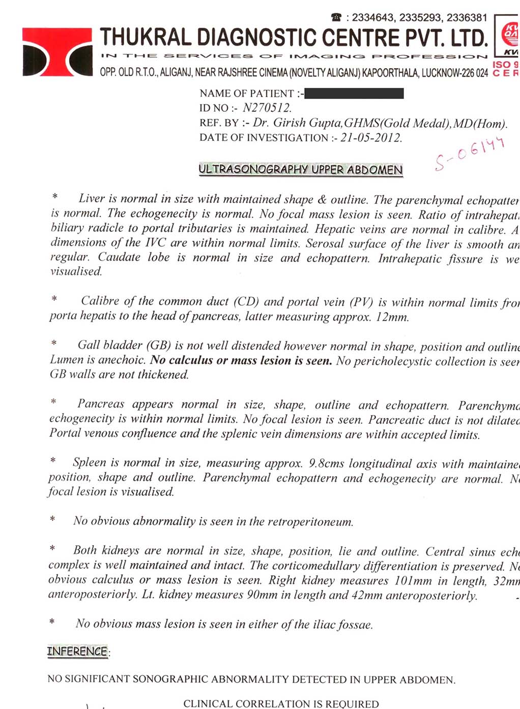
After 4-5 months ultrasonography Reports showed gall bladder is not well distended however normal in shape, position and outline. No calculus or mass lesion is seen.
After Treatment

